
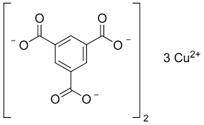
در طی سال های اخیر شاهد رشد انفجاری در تهیه، شناسایی و مطالعه موادی بودیم که بنام چارچوب های فلز-آلی یا همان MOFها (Metal-Organic Frameworks) شناخته می شوند. این مواد که به نام پلیمرهای کوئوردیناسیونی متخلخل نیز شناخته می شوند ، مواد متخلخل بلوری هستند که از اتصال واحدهای شامل فلز یعنی واحدهای ساختاری ثانویه (SBUs) با لیگاندهای آلی بوجود می آیند. مساحت سطحی MOFها به طور متوسط بین 1000 الی 10000 مترمربع بر گرم می باشد که باعث پیشی گرفتن از مواد متخلخل رایج مثل زئولیت ها و کربن فعال می گردد. Cu3(BTC)2 که با نامهای Cu-BTC و HKUST-1 معروف است یکی از شناخته شده ترین چارچوب های فلز-آلی می باشدکه برای نخستین بار در سال 1999 گزارش گردید. Cu-BTC در واقع یک چارچوب فلز-آلی بر پایه فلز مس می باشد که با روش حلال گرمایی (Solvothermal) تولید می شود. این MOF از کریستال های آبی رنگی تشکیل یافته است که ساختار کریستالی آن شامل SBUهای چرخی شکلی است که در واقع کلاسترهای دو هسته ای از مس هستند و هر کدام از این اتم های مس با چهار اتم اکسیژن از لیگاند BTC کوردینه می شوند. هر حلقه BTC به اتم های دو تایی مس سه SBU اتصال یافته و شبکه سه بعدی را بوجود می آورند.
ویژگی های چارچوب فلز-آلی Cu-BTC
در ساختار Cu-BTC هر اتم مس با یک مولکول آب کوردینه شده است، پیوند فوق ضعیف بوده و مولکولهای آب براحتی می توانند از ساختار خارج شوند، خارج شدن مولکولهای حلال با تغییر رنگ Cu-BTC از آبی به بنفش براحتی قابل تشخیص است، همچنین این عمل برگشت پذیر بوده و با جذب آب، رنگ Cu-BTC مجددا به آبی تغییر می یابد. با خارج شدن مولکول های حلال، اتم های مس از لحاظ کوئوردیناسیونی به حالت غیر اشباع می رسند و اصطلاحا گفته می شود که مراکز آزاد فلزی وجود آمده است. مراکز آزاد فلزی بوجود آمده در Cu-BTC می توانند بعنوان اسید لویس در واکنش های کاتالیستی عمل کنند همچنین باعث افزایش جذب گازهایی نظیر دی اکسید کربن بشوند.
| مشخصات و اطلاعات تکمیلی محصول | |
| Cu-BTC | Product Name |
| HKUST-1, MOF-199, Copper benzene-1, 3, 5-tricarboxylate | Synonyms |
| 51937-85-0 | CAS-NO |
| Majd Onsor Fartak (MOF) | Company |
| MOFCU199.010.01 | Product Number |
| C18H6Cu3O12 | Unit Molecular Formula |
| 604.87 | Unit Molecular Weight (g/mol) |
| Blue Powder | Appearance |
| 1600 ≤ | BET surface area (m2/g) |
| Cu | Coordination Metal |
| BTC (benzene-1,3,5-tricarboxylate) | Linker |
![]() | Pictogram |
برای بررسی مورفولوژی Cu-BTC از تصاویر میکروسکوپ الکترونی روبشی نشر میدانی (FESEM) استفاده شد. تصاویر FESEM نشان می دهند که Cu-BTC از بلورهای منظم هشت وجهی تشکیل شده است .
آنالیز پراش پرتو ایکس (XRD), در شناسایی چارچوب های فلز-آلی بسیار مهم است. همانگونه که در شکل مشاهده می شود الگوی پراش پرتو ایکس Cu-BTC مشابه الگوی شبیه سازی شده این ماده می باشد که این موضوع بیانگر خلوص فاز بلوری چارچوب فلز-آلی فوق می باشد.
یکی از خصوصیات بارز چارچوب های فلز-آلی تخلخل و مساحت سطح بالای این مواد می باشد، در همین راستا ایزوترم های جذب و واجذب نیتروژن مایع نمونه ها مورد بررسی قرار می گیرد. همانطوری که در شکل مشاهده می گردد، ایزوترم جذبی برای Cu-BTC از نوع Ι است، به عبارت دیگر این ماده داری ساختار میکروپور می باشد. مقدار BET نمونه Cu-BTC در حدود 1670 مترمربع بر گرم می باشد.
در جای خشک و دور از رطوبت نگهداری شود.
برای گرفتن آنالیز BET و یا قبل از انجام واکنش های خاص نظیر تست کاتالیستی بهتر است نمونه به مدت سه الی پنج ساعت تحت خلا در دمای 150 درجه سانتیگراد حرارت ببیند.
چارچوب فلز-آلی Cu-BTC تولیدی شرکت مجد عنصر فرتاک است. این شرکت یک شرکت تخصصی در زمینه تولید چارچوب های فلزی-آلی (MOF) است. چارچوب فلز-آلی Cu-BTC توسط تمادکالا به فروش میرسد.
اطلاعات تکمیلی |
|
|---|---|
| رنگ | آبی |
| شکل ظاهری | پودری |
| کشور/شرکت تولید کننده | شرکت مجد عنصر فرتاک/ایران |
| فرمول مولکولی | C18H6Cu3O12 |
| جرم مولکولی | 604.87 |
| بسته بندی | این محصول در بسته بندی های یک گرمی به فروش می رسد. |
| خصوصیات | 1001406,شرکت,مجد عنصر فرتاک,mof,mof,شرکت مجد عنصر فرتاک,l.asgharnejad@yahoo.com,,2022-06-19 06:46:49,,<img alt='' src='https://secure.gravatar.com/avatar/3634381195c0743f19ea649ffa8ac1fbe18bd18a85961f19025f5565ef9ed9b1?s=96&d=mm&r=g' srcset='htt |
| نکات مهم محصول | این محصول در بسته بندی های یک گرمی به فروش می رسد. |
سلام، بنده رئیس پژوهشکده حفاظت خاک و آبخیزداری هستم. در بررسی ها متوجه شدم از MOF به شکل پرده در استحصال آب از مه و رطوبت هوا استفاده می شود. آیا برای یک کار تحقیقاتی امکان تهیه آن از شرکت شما فراهم است؟ ارادتمند نیک کامی
مشخصات محصول |
|---|
| cas_no : 51937-85-0 |
|
cas_no
:
51937-85-0
|
| مترادفها : HKUST-1,Copper benzene-1,3,5-tricarboxylate,MOF-199 |
|
مترادفها
:
HKUST-1,Copper benzene-1,3,5-tricarboxylate,MOF-199
|